이 논문에서는 Sequence to Sequence(Seq2Seq) 모델을 제안하며, 입력 시퀀스를 고정된 벡터로 인코딩하고 이를 다시 시퀀스로 디코딩하는 구조를 소개합니다. LSTM을 활용하여 긴 의존성 문제를 효과적으로 해결하고, 기계 번역 등 자연어 처리에서 우수한 성능을 보여줍니다.
특히, 인코더의 마지막 은닉 상태를 디코더의 초기 상태로 사용하는 방식이 성능 향상에 중요한 역할을 합니다. 이 모델은 기존의 고정된 길이 입력과 출력을 요구하는 방식의 한계를 넘어서, 다양한 자연어 처리 과제에 널리 적용될 수 있는 강력한 기반을 마련했습니다. 또한, Seq2Seq는 긴 시퀀스 처리에 유리한 유연한 구조를 가지고 있습니다.
Abstract
이 논문의 주요 내용을 요약하면 다음과 같습니다:
- 긴 시퀀스를 처리하기 위한 end-to-end 접근법 제안
- 다층 LSTM을 사용해 입력 시퀀스를 고정 차원의 벡터로 매핑
- 다른 LSTM을 사용해 해당 벡터에서 목표 시퀀스를 디코딩
- 영어-프랑스어 번역 태스크에서의 성능
- WMT'14 데이터셋에서 BLEU 34.8 점수 달성
- 어휘 외 단어에 대해 페널티 적용됨에도 좋은 성능
- 긴 문장에서도 어려움 없이 처리
- 기존 시스템과의 비교
- 구문 기반 SMT 시스템은 동일 데이터셋에서 BLEU 33.3 기록
- LSTM으로 SMT 시스템의 결과 재순위화 시 BLEU 36.5로 향상
- LSTM의 특징
- 단어 순서에 민감하고 능동/수동태에 상대적으로 불변한 표현 학습
- 소스 문장의 단어 순서를 뒤집는 것이 성능을 크게 향상시킴
- 주요 장점
- 최소한의 시퀀스 구조 가정으로 일반적인 접근 가능
- 긴 문장 처리에 용이
- 의미 있는 문장 표현 학습
1. Introduction
이 내용은 시퀀스-투-시퀀스 학습을 위한 LSTM 기반 접근법에 대해 설명하고 있습니다.

- 연구 배경 및 목적
- DNNs의 한계: 고정 차원 입출력만 처리 가능
- 가변 길이 시퀀스 처리의 필요성
- LSTM을 활용한 일반적 시퀀스-투-시퀀스 학습 방법 제안
- 제안 방법
- 두 개의 LSTM 사용: 인코더와 디코더
- 입력 시퀀스를 고정 차원 벡터로 변환 후 출력 시퀀스 생성
- 주요 실험 결과
- WMT'14 영어-프랑스어 번역 태스크 성능(BLEU 34.81 달성)
- 기존 SMT 시스템(BLEU 33.30) 대비 우수한 성능
- LSTM을 이용한 SMT 결과 재순위화 효과(BLEU 36.5로 향상)
- 핵심 기여점
- 소스 문장 단어 순서 뒤집기 기법
- 긴 문장에서의 우수한 성능
- LSTM의 특성
- 가변 길이 입력의 고정 차원 벡터 표현
- 의미 기반의 문장 표현 학습
이 설명은 LSTM을 활용한 시퀀스-투-시퀀스 학습 방법의 효과성을 보여주며, 특히 기계 번역 분야에서의 성능 향상과 긴 문장 처리 문제 해결에 대한 기여를 나타냅니다
2. The model
이 내용은 시퀀스-투-시퀀스 학습을 위한 Long Short-Term Memory (LSTM) 기반 접근법에 대해 설명하고 있습니다.
- 기본 RNN의 한계
- 입력과 출력 시퀀스 길이가 다르거나 복잡한 관계를 가질 때 적용 어려움
- LSTM 기반 접근법
- 입력 시퀀스를 고정 차원 벡터로 인코딩
- 해당 벡터를 이용해 출력 시퀀스 생성
- 조건부 확률:

- 모델 구조
- 인코더-디코더 구조: 두 개의 LSTM 사용
- 4층 깊이의 LSTM 사용
- 입력 문장의 단어 순서 뒤집기
- 주요 특징
- 문장 끝 표시 "<EOS>" 사용으로 가변 길이 시퀀스 처리
- 다국어 쌍 동시 학습 가능
- 입력 문장 뒤집기로 성능 크게 향상
- 학습 방법
- Softmax를 이용한 단어 확률 분포 표현
- SGD(Stochastic Gradient Descent)를 통한 학습
이 설명은 LSTM을 활용한 시퀀스-투-시퀀스 학습 모델의 구조와 작동 원리를 다루고 있습니다. 특히 입력 문장을 뒤집는 간단한 기법이 모델의 성능을 크게 향상시키는 데 중요한 역할을 했다는 점이 주목할 만합니다.
3. Experiments
이 내용은 논문에서 제안한 LSTM 기반 시퀀스-투-시퀀스 모델의 실험 방법과 평가에 대한 설명입니다.
- 실험 태스크
- WMT'14 영어-프랑스어 기계 번역 작업
- 적용 방법
- 직접 번역
- 참조 통계 기계 번역(SMT) 시스템 없이 입력 문장을 직접 번역
- 재순위화
- SMT 기준 시스템의 n-best 목록을 재순위화
- 직접 번역
- 평가 항목
- 번역 정확도 보고
- 샘플 번역 결과 제시
- 문장 표현의 시각화
이 설명은 연구팀이 제안한 모델의 성능을 평가하기 위해 두 가지 방법으로 실험을 진행했음을 보여줍니다.
3-1. Dataset details
이 내용은 연구에서 사용된 데이터셋과 전처리 방법에 대한 설명입니다.
- 데이터셋
- WMT'14 영어-프랑스어 데이터셋
- 12M 문장 쌍의 부분집합 사용
- 프랑스어 348M 단어
- 영어 304M 단어
- 데이터셋 선택 이유
- 공개적으로 사용 가능한 토큰화된 훈련 및 테스트 세트
- 기준 SMT 시스템의 1000-best 목록 제공
- 어휘 처리
- 고정 크기 어휘 사용
- 소스 언어(영어): 160,000개 최빈 단어
- 타겟 언어(프랑스어): 80,000개 최빈 단어
- 어휘 외 단어(OOV)는 특수 토큰 "UNK"로 대체
- 고정 크기 어휘 사용
이 설명은 연구에 사용된 데이터의 규모와 특성, 그리고 어휘 처리 방법을 상세히 기술하고 있습니다.
또한 고정 크기 어휘를 사용하고 OOV 문제를 "UNK" 토큰으로 해결하는 등 일반적인 신경망 기반 언어 모델의 접근 방식을 따르고 있음을 보여줍니다.
3-2. Decoding and Rescoring
이 내용은 LSTM 기반 시퀀스-투-시퀀스 모델의 학습 및 디코딩 방법에 대한 설명입니다.


- 학습 목표
- 소스 문장 S가 주어졌을 때 정확한 번역 T의 로그 확률 최대화
- 목적 함수:

- 번역 생성 방법
- 가장 높은 확률의 번역 찾기:

- 디코딩 알고리즘
- 좌에서 우로의 빔 서치(beam search) 사용
- 부분 가설(partial hypothesis)을 유지하며 확장
- 빔 크기 B의 가장 가능성 높은 가설만 유지
- "<EOS>" 심볼 도달 시 완성된 가설로 처리
디코딩 알고리즘
디코딩 알고리즘은 모델이 학습한 내용을 바탕으로 번역을 생성하는 과정입니다. 여기서는 주로 빔 서치(Beam Search) 가 사용됩니다.
빔 서치(Beam Search):
- 빔 서치는 번역 생성 과정에서 여러 후보 번역을 동시에 고려하여 최적의 번역을 찾는 방법입니다.
- 각 타임스텝에서 현재까지 생성된 번역의 일부(부분 가설)를 유지하며, 다음 단어를 추가할 때 가능한 모든 단어로 확장합니다.
- 이때, 설정된 빔 크기 BBB에 따라 가장 가능성이 높은 BBB개의 부분 가설만 유지하고 나머지는 버립니다.
- 이 과정은 각 단계에서 모든 가능한 조합을 고려하지 않으면서도 상대적으로 우수한 성능을 제공합니다.
빔 서치 특징
- 빔 크기 조정:
- 빔 크기를 조정함으로써 성능과 계산 비용 간의 균형을 맞출 수 있습니다.
- 빔 크기 BBB가 작을수록 계산량이 줄어들지만, 최적의 해를 찾지 못할 위험이 있습니다. 반대로, BBB가 크면 더 많은 후보를 고려할 수 있지만 계산 비용이 증가합니다.
- 성능:
- 빔 크기 1에서는 기본적으로 최댓값 탐색(greedy search)을 수행하게 되며, 이 경우에도 상당한 성능을 보입니다.
- 빔 크기 2에서는 후보를 두 개만 유지하므로, 효율적으로 탐색하면서도 대부분의 성능 이점을 확보할 수 있습니다. 이는 실험적으로 확인되었습니다.
- 완성된 가설 처리:
- 각 부분 가설에 "<EOS>"(문장 종료 기호)가 추가되면 해당 가설은 완성된 것으로 간주되어 빔에서 제거되고, 최종 번역 결과 목록에 추가됩니다.
- 이 과정은 번역의 질을 높이는 데 도움을 줍니다.
- 빔 서치 특징
- 빔 크기 1에서도 우수한 성능
- 빔 크기 2에서 대부분의 이점 확보
- 재순위화 방법
- 기준 시스템의 1000-best 목록 재평가
- LSTM 로그 확률과 기존 점수의 평균 사용
이 설명은 모델의 학습 방법과 실제 번역 생성 과정을 자세히 기술하고 있습니다. 특히 간단한 빔 서치 알고리즘으로도 효과적인 번역이 가능하다는 점과, 기존 SMT 시스템의 결과를 재순위화하는 방법을 제시함으로써 제안된 모델의 다양한 활용 가능성을 보여줍니다.
3-3. Reversing the Source Sentences
이 내용은 LSTM 모델의 성능을 크게 향상시킨 '입력 문장 뒤집기' 기법에 대한 설명입니다.
- 주요 발견
- 소스 문장(입력)을 뒤집어 학습시킬 때 LSTM 성능이 크게 향상됨
- 타겟 문장(출력)은 뒤집지 않음
- 성능 향상 결과
- 테스트 퍼플렉시티: 5.8 → 4.7 감소
- 테스트 BLEU 점수: 25.9 → 30.6 증가
- 성능 향상 원인 추정
- 단기 의존성(short term dependencies) 증가
- 문제의 '최소 시간 지연(minimal time lag)' 감소
- 역전파 과정에서 소스와 타겟 문장 간 '통신 설정' 용이
- 추가 관찰
- 긴 문장에서도 성능 향상 확인
- LSTM의 메모리 활용도 개선 추정
- 초기 가설과 실제 결과의 차이
- 초기 가설: 타겟 문장 초반부 예측만 개선될 것으로 예상
- 실제 결과: 전반적인 성능 향상 관찰
이 설명은 '입력 문장 뒤집기' 기법이 LSTM 모델의 성능을 크게 향상시켰음을 보여줍니다. 이 기법은 특히 긴 문장 처리에 도움이 되었으며, 이는 LSTM의 장기 의존성 학습 능력을 더욱 효과적으로 활용할 수 있게 했음을 보여줍니다.
3-4. Training details
이 내용은 LSTM 모델의 구조와 학습 방법에 대한 상세한 설명입니다.
- 모델 구조
- 4층 깊이의 LSTM
- 각 층당 1000개 셀
- 1000차원 단어 임베딩
- 입력 어휘 160,000개, 출력 어휘 80,000개
- 문장 표현에 8000개의 실수 사용
- 총 384M 파라미터 (순수 순환 연결 64M)
- 학습 세부사항
- 초기화: 균등 분포 (-0.08 ~ 0.08)
- 최적화 알고리즘: 모멘텀 없는 확률적 경사 하강법( 학습률)
- 초기 학습률: 0.7
- 5 에포크 후 매 0.5 에포크마다 반감
- 총 학습 기간: 7.5 에포크
- 배치 크기: 128 시퀀스
- 추가 기법
- 그래디언트 폭발 방지:
- 그래디언트 노름에 hard constraint 적용
- 임계값 초과 시 스케일링
- 계산 효율성 향상:
- 비슷한 길이의 문장들로 미니배치 구성
- 2배 속도 향상 달성
- 그래디언트 폭발 방지:
이 설명은 LSTM 모델의 구체적인 구현 방법과 학습 과정을 상세히 설명하고 있습니다. 특히 그래디언트 폭발 문제를 해결하기 위한 기법과 계산 효율성을 향상시키기 위한 접근 방식이 특히 중요합니다.
3-5. Parallelization
이 내용은 연구에서 사용된 LSTM 모델의 구현 및 학습 세부사항에 대한 설명입니다.
- 초기 구현
- C++로 구현된 딥 LSTM
- 단일 GPU 사용
- 처리 속도: 약 1,700 단어/초
- 병렬화 구현
- 8-GPU 머신 사용
- LSTM 각 층을 다른 GPU에서 실행
- 4개 GPU: LSTM 4개 층 각각 실행
- 나머지 4개 GPU: softmax 연산 병렬화 (1000x20000 행렬 곱셈)
- 성능 향상
- 처리 속도: 6,300 단어/초 (영어와 프랑스어 모두)
- 미니배치 크기: 128
- 학습 시간
- 약 10일 소요
이 설명은 대규모 신경망 모델의 학습에 필요한 계산 자원과 최적화 과정을 보여줍니다.
LSTM 층과 softmax 연산을 여러 GPU에 분산시킴으로써 처리 속도를 크게 향상시켰습니다. 이를 통해 합리적인 시간 안에 대규모 모델을 효과적으로 학습할 수 있음을 보여줍니다.
3-6. Experimental Results
이 내용은 연구의 평가 방법과 주요 결과에 대한 설명입니다.
- 평가 지표
- 대소문자 구분된 BLEU 점수 사용
- multi-bleu.pl 스크립트로 토큰화된 예측 및 정답에 대해 계산
- 기존 연구 [5], [2], [29]와 일관된 평가 방식 (Table 1, 2 참조)
- 평가 결과 비교
- 기준 SMT 시스템 [29]: BLEU 33.3
- 최고 WMT'14 시스템 [9]: BLEU 37.0 (재평가 시)
- LSTM 모델 성능
- LSTM 앙상블 사용
- 순수 신경망 번역 시스템으로는 처음으로 phrase-based SMT 기준선을 큰 폭으로 상회
- OOV 단어 처리 불가능에도 불구하고 우수한 성능 달성
- 재순위화 결과
- 기준 시스템의 1000-best 목록 재순위화 시 최고 WMT'14 결과와 0.5 BLEU 점수 차이
이 설명은 제안된 LSTM 기반 모델의 성능이 기존 SMT 시스템을 크게 앞서며, 최고 성능의 WMT'14 시스템과 비교해도 경쟁력 있는 결과를 보여줌을 강조하고 있습니다.
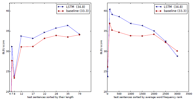
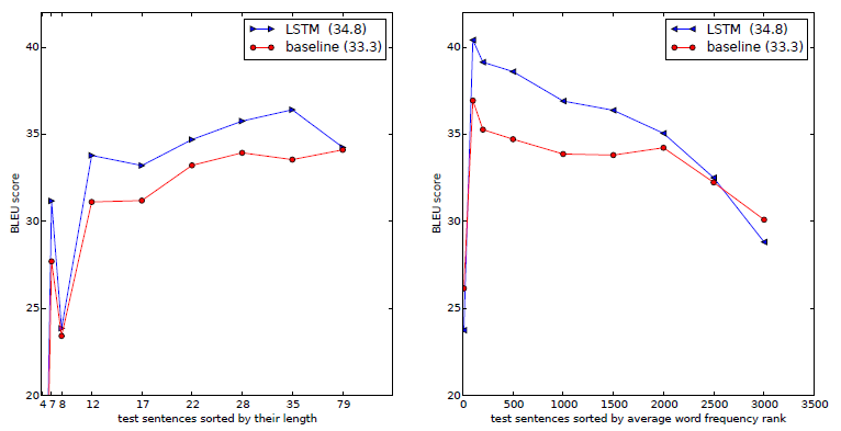
3-7. Performance on long sentences
이 내용은 LSTM이 긴 문장에서 효과적으로 작동한다는 사실에 대한 설명입니다.
이는 Figure 3에서 정량적으로 나타나며, Table 3에는 여러 긴 문장과 그 번역 예시가 포함되어 있습니다.


3-8. Model Analysis
이 내용은 논문에서 제안한 모델의 특징적인 기능과 그 시각화에 대한 설명입니다.

- 모델의 주요 특징
- 단어 시퀀스를 고정 차원의 벡터로 변환하는 능력
- 학습된 표현의 시각화
- Figure 2를 통해 학습된 표현을 시각화
- 표현의 특성
- 단어 순서에 민감함
- 문장 내 단어 순서가 바뀌면 표현도 변화
- 능동태와 수동태 변환에 상대적으로 둔감함
- 능동태 문장과 그에 해당하는 수동태 문장의 표현이 유사
- 단어 순서에 민감함
- 시각화 방법
- PCA(주성분 분석)를 사용하여 2차원으로 투영
이 설명은 제안된 모델은 단순히 번역 성능을 향상시키는 것을 넘어, 의미 있는 문장 표현을 학습할 수 있음을 보여줍니다. 특히, 단어 순서의 중요성을 인식하면서도 능동태와 수동태와 같은 문법적 변형에 대해 강건한 표현을 학습한 점이 주목할 만합니다. 이는 모델이 문장의 표면적 형태보다 근본적인 의미를 포착하고 있음을 시사합니다. 또한, 고차원의 벡터를 2차원으로 투영하여 시각화함으로써 복잡한 신경망 모델의 내부 작동을 이해하기 쉽게 제시하고 있습니다.
4. Related work
이 내용은 신경망을 기계 번역에 적용한 관련 연구들에 대한 문헌 조사 부분입니다.
내용을 정리한 내용:
- 기존 신경망 기반 기계 번역 접근법
- RNN 언어 모델(RNNLM)이나 피드포워드 신경망 언어 모델(NNLM)을 사용한 n-best 목록 재순위화
- 소스 언어 정보를 NNLM에 통합하는 시도들
- 주요 관련 연구
- Auli et al. [1]: NNLM과 입력 문장의 토픽 모델 결합, 재순위 성능 개선
- Devlin et al. [8]: NNLM을 MT 시스템 디코더에 통합하고 정렬 정보를 활용하여 성능 향상
- Kalchbrenner and Blunsom [18]: 입력 문장을 벡터로 변환 후 다시 문장으로 복원 (CNN 사용)
- Cho et al. [5]: LSTM 유사 RNN 구조로 문장-벡터-문장 변환, SMT 시스템 통합 중점
- Bahdanau et al. [2]: 주의 메커니즘을 사용한 직접 번역 시도, 긴 문장 처리 개선에 고무적인 결과
- Pouget-Abadie et al. [26]: 소스 문장 일부 번역으로 메모리 문제 해결 시도
- Hermann et al. [12]: 입출력을 피드포워드 네트워크로 표현하고 유사한 공간에 매핑, 직접 번역 생성 불가
- 본 연구와의 관계
- Kalchbrenner and Blunsom [18], Cho et al. [5]의 연구와 밀접한 관련
- 기존 연구들과 달리 단어 순서 정보 보존, 긴 문장 처리 개선
- 소스 문장 역순 학습으로 간단하게 성능 향상 가능성 제시
- 기존 연구의 한계
- 단어 순서 정보 손실 (CNN 사용 시)
- 긴 문장에서의 성능 저하
- 직접 번역 생성 불가 (일부 연구의 경우)
이 설명은 LSTM 기반 모델은 기존 연구의 한계를 어떻게 극복하는지를 잘 보여주며, 특히 간단하면서도 효과적인 소스 문장 역순 학습 기법의 중요성을 강조하고 있습니다.
5. Conclusion
이 내용은 연구의 주요 발견과 향후 전망을 제시하고 있습니다.
- 주요 연구 결과
- 제한된 어휘를 가진 대규모 심층 LSTM 모델이 무제한 어휘의 표준 SMT 시스템을 능가함
- 문제 구조에 대한 가정을 거의 하지 않은 단순한 접근법으로 우수한 성능 달성
- 핵심 발견
- 소스 문장 단어 역순 처리의 효과
- 예상 외로 큰 성능 향상
- 단기 의존성을 최대화하는 문제 인코딩의 중요성 강조
- LSTM의 긴 문장 번역 능력
- 기존 연구들과 달리 긴 문장에서도 우수한 성능 보임
- 역순 데이터셋 학습이 긴 문장 번역에 도움
- 소스 문장 단어 역순 처리의 효과
- 연구의 의의
- 단순하고 직관적인 접근법으로 SMT 시스템 능가
- 추가 최적화를 통한 더 높은 번역 정확도 가능성 제시
- 향후 전망
- 다른 시퀀스-투-시퀀스 문제에도 적용 가능성 높음
- 충분한 훈련 데이터가 있는 다양한 시퀀스 학습 문제에 효과적일 것으로 예상
이 설명은 이 설명은 연구팀이 이룬 주요 성과와 그 과정에서 얻은 통찰을 요약합니다. 특히 소스 문장을 역순으로 처리한 결과와 LSTM의 긴 문장 번역 능력이 예상 밖의 성과였음을 강조하며, 이는 향후 연구 방향에 중요한 시사점을 제공합니다.
Reference